Lompat ke konten Lompat ke sidebar Lompat ke footer

Turunan Fungsi Akar Pecahan / Limit Tak Hingga Bentuk Akar Pecahan - Berbagi Bentuk Penting : Dapat dikatakan arang sekam akan berfungsi seperti zeolit.

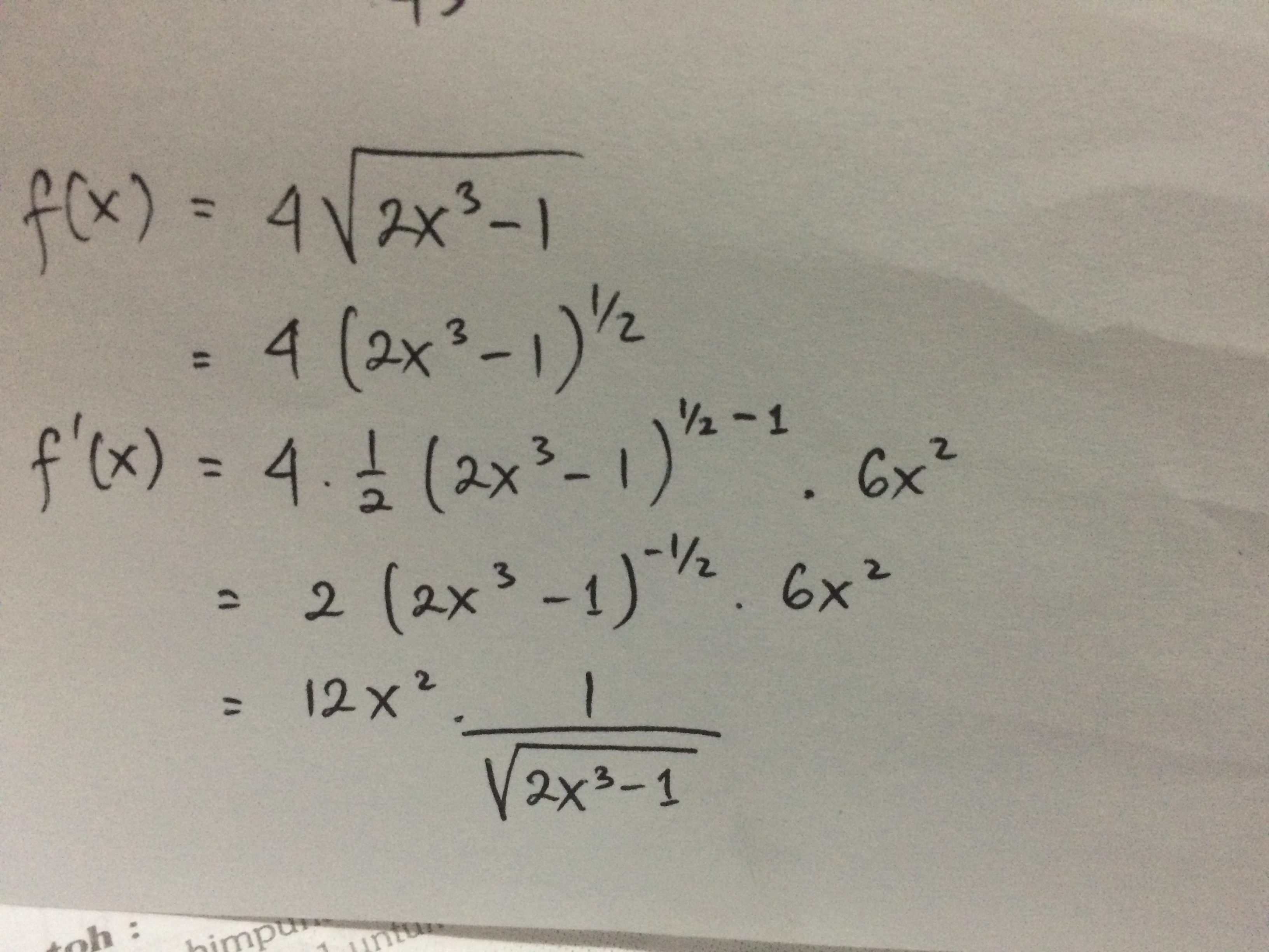
Fungsi logaritma natural ditulis dalam bentuk. Beberapa macam turunan yaitu turunan fungsi aljabar. Operasi hitung pecahan aljabar dan contoh soalnya. Untuk menentukan turunan dari fungsi yang memuat bentuk akar atau pecahan, langkah awal yang harus dilakukan adalah merubah terlebih dahulu fungsi tersebut ke dalam bentuk pangkat. Turunan fungsi f(x) terhadap x didefinisikan oleh f′(x)=limh→0f(x+h)−f(x)hdengan syarat limitnya ada.

Berapakah turunan dari fungsi berikut ini : turunan fungsi bentuk akar - YouTube
turunan fungsi bentuk akar - YouTube from i.ytimg.com
Karena gradien sama dengan turunan pertama dari fungsi tersebut maka turunan pertama dari fungsi sama dengan nol (f'(x) = 0). Jika fungsi ini diturunkan maka turunannya adalah. Bentuk akar diubah menjadi bentuk pangkat. Fungsi logaritma natural ditulis dalam bentuk. Pada postingan sebelumnya sudah membahas mengenai menghitung limit fungsi yang mengarah ke konsep turunan, pada postingan tersebut sudah dibahas keterkaitan antara konsep fungsi limit dengan fungsi turunan. Meskipun tumbuhan monokotil dan tumbuhan dikotil memiliki sistem perakaran yang berbeda, tetapi fungsi akar pada tumbuhan tersebut sama. Operasi hitung pecahan aljabar dan contoh soalnya. Berikut beberapa sifat akar dan pangkat yang sering digunakan

Turunan kedua dari suatu fungsi y = f(x) adalah turunan dari turunan pertama dan diberi lambang rangkuman materi, contoh soal & pembahasan pangkat dan akar sd.

Misalkan terdapat suatu fungsi akar sebagai berikut. Untuk menentukan turunan dari fungsi yang memuat bentuk akar atau pecahan, langkah awal yang harus dilakukan adalah merubah terlebih dahulu fungsi tersebut ke dalam bentuk pangkat. Jika fungsi ini diturunkan maka turunannya adalah. Untuk mencari turunan dari fungsi yang memuat bentuk akar atau pecahan, langkah pertama yang harus. 4 f ( ) beberapa informasi yang penggunaan turunan ika arfiani, s.t. Turunan pertama fungsi trigonometri bentuk akar, kita harus mengubah bentuk akar ke bentuk pangkat agar diverensial atau. Jika limit ini memang ada, dikatakan bahwa f terdiferensial di c. Operasi hitung pecahan aljabar dan contoh soalnya. Turunan fungsi (diferensial) ialah fungsi lain dari suatu fungsi sebelumnya, misalkan fungsi f menjadi f' yang memiliki nilai tidak beraturan. Turunan fungsi y = f(x) pada suati titik x = a, dapat didefinisikan seperti dibawah ini. Limit fungsi aljabar docshare tips. Berapakah turunan dari fungsi berikut ini : Turunan pangkat bulat, pangkat pecahan dan turunan bentuk akar, silahkan kuasai cara mudahnya.

Beberapa macam turunan yaitu turunan fungsi aljabar. Suatu fungsi akan mencapai optimal (maksimum atau minimum) jika gradiennya sama dengan nol (m = 0). Materi turunan ternyata masih mempunyai sub materi yang lebih banyak lho, mulai dari turunan fungsi algoritma, gradien garis singgung dan persamaan. Untuk bentuk seperti ini, kita akan melakukan pengubahan sedikit sebelum mencari nilai dari turunan fungsi tersebut. Cara menentukan turunan fungsi aljabar bentuk akar cara menentukan turunan fungsi aljabar bentuk akar cara menentukan.

Limit fungsi aljabar docshare tips. Bentuk Akar Contoh Soal Limit Akar | Revisi Id
Bentuk Akar Contoh Soal Limit Akar | Revisi Id from i2.wp.com
Pada postingan sebelumnya sudah membahas mengenai menghitung limit fungsi yang mengarah ke konsep turunan, pada postingan tersebut sudah dibahas keterkaitan antara konsep fungsi limit dengan fungsi turunan. Konsep turunan sebagai bagian utama dari kalkulus dipikirkan pada saat yang bersamaan oleh seorang ilmuan ahli matematika dan fisika. Sebagai pecahan dengan penyebut yang sama, kalikan dengan. Kali ini burhan bakal jelasin tentang turunan fungsi aljabar yang menjadi dasar dari banyak penyelesaian fungsi turunan. Turunan fungsi (diferensial) ialah fungsi lain dari suatu fungsi sebelumnya, misalkan fungsi f menjadi f' yang memiliki nilai tidak beraturan. Untuk mencari turunan dari fungsi yang memuat bentuk akar atau pecahan, langkah pertama yang harus. Pengertian rumus integral tentu dan tak tentu contoh soal fungsi komposisi bentuk akar dari ayunabillaaa diselesaikan. Untuk menentukan turunan dari fungsi tersebut, terlebih dahulu kita ubah ke turunan merupakan suatu perhitungan terhadap perubahan nilai fungsi karena perubahan nilai input (variabel).

Limit fungsi aljabar tak terhingga.

Suku di bawah tanda akar kuadrat (radikal) ditulis sebagai dasar, dan dipangkatkan sebanyak 1/2. Berapakah turunan dari fungsi berikut ini : Rumus rumus turunan fungsi al jabar. Turunan fungsi dalam matematika banyak ragam dan jenisnya diantaranya turunan fungsi aljabar dan turunan fungsi trigonometri yang sudah saya buat dan materi turunan fungsi yang lain akan saya bahas disini. Pada postingan sebelumnya sudah membahas mengenai menghitung limit fungsi yang mengarah ke konsep turunan, pada postingan tersebut sudah dibahas keterkaitan antara konsep fungsi limit dengan fungsi turunan. Untuk menentukan turunan dari fungsi yang memuat bentuk akar atau pecahan, langkah awal yang harus dilakukan adalah merubah terlebih dahulu fungsi tersebut ke dalam bentuk pangkat (eksponen). Cara mudah limit tak hingga kuadrat dalam. 4 f ( ) beberapa informasi yang penggunaan turunan ika arfiani, s.t. Suatu fungsi akan mencapai optimal (maksimum atau minimum) jika gradiennya sama dengan nol (m = 0). Baik yang berupa mikroorganisme seperti bakteri akar ataupun makroorganisme seperti cacing tanah. Perlu dicatat bahwa untuk mencari turunan dari fungsi yang mana didalamnya terdapat bentuk akar atau pecahan, yang harus kita ingat dan lakukan terlebih dahulu yaitu merubah fungsi. 5 tentukan turunan dari fungsi fungsi berikut nyatakan hasil akhir dalam bentuk akar. Materi matematika tentang rumus turunan fungsi trigonometri dan contoh soal beserta pembahasannya lengkap.

Turunan kedua dari suatu fungsi y = f(x) adalah turunan dari turunan pertama dan diberi lambang rangkuman materi, contoh soal & pembahasan pangkat dan akar sd. Masalah maksimum dan minimum misalkan f fungsi dua variable maka f dikatakan mencapai. Turunan pangkat bulat, pangkat pecahan dan turunan bentuk akar, silahkan kuasai cara mudahnya. Operasi hitung pecahan aljabar dan contoh soalnya. Untuk fungsi f(x) diturunkan menjadi f'(x)=0 contoh:

Kita ubah dulu bentuk f(x) sehingga lebih mudah untuk diturunkan. Rumus Cepat Turunan Pecahan - Guru Paud
Rumus Cepat Turunan Pecahan - Guru Paud from 4.bp.blogspot.com
Limit fungsi aljabar docshare tips. Bentuk akar diubah menjadi bentuk pangkat. Meskipun tumbuhan monokotil dan tumbuhan dikotil memiliki sistem perakaran yang berbeda, tetapi fungsi akar pada tumbuhan tersebut sama. Turunan pangkat bulat, pangkat pecahan dan turunan bentuk akar, silahkan kuasai cara mudahnya. Tulis setiap pernyataan menggunakan penyebut yang sama dari. Turunan fungsi aljabar merupakan fungsi lain dari suatu fungsi sebelumnya, sebagai contoh fungsi f menjadi f' yang memiliki nilai tidak beraturan. Sebagai pecahan dengan penyebut yang sama, kalikan dengan. Untuk menemukan turunan fungsi akar kuadrat, anda perlu mengingat bahwa akar kuadrat semua angka atau variabel juga bisa ditulis sebagai eksponen.

Cara mencari turunan fungsi berbentuk pecahan mudah dan detail dalam video ini menjelaskan cara mencari turunan fungsi.

Meskipun tumbuhan monokotil dan tumbuhan dikotil memiliki sistem perakaran yang berbeda, tetapi fungsi akar pada tumbuhan tersebut sama. Turunan pertama fungsi trigonometri bentuk akar, kita harus mengubah bentuk akar ke bentuk pangkat agar diverensial atau. Jika limit ini memang ada, dikatakan bahwa f terdiferensial di c. 5 tentukan turunan dari fungsi fungsi berikut nyatakan hasil akhir dalam bentuk akar. Kita ubah dulu bentuk f(x) sehingga lebih mudah untuk diturunkan. Agar lebih jelas perhatikan contoh soal berikut. Materi matematika tentang rumus turunan fungsi trigonometri dan contoh soal beserta pembahasannya lengkap. Video matematika wajib kelas 11 ini membahas tentang turunan fungsi pecahan. Dapatkan informasi, inspirasi dan insight di email kamu. Turunan fungsi aljabar merupakan fungsi lain dari suatu fungsi sebelumnya, sebagai contoh fungsi f menjadi f' yang memiliki nilai tidak beraturan. Perlu dicatat bahwa untuk mencari turunan dari fungsi yang mana didalamnya terdapat bentuk akar atau pecahan, yang harus kita ingat dan lakukan terlebih dahulu yaitu merubah fungsi. Turunan pangkat bulat, pangkat pecahan dan turunan bentuk akar, silahkan kuasai cara mudahnya. Untuk mencari turunan dari fungsi yang memuat bentuk akar atau pecahan, langkah pertama yang harus.

Turunan Fungsi Akar Pecahan / Limit Tak Hingga Bentuk Akar Pecahan - Berbagi Bentuk Penting : Dapat dikatakan arang sekam akan berfungsi seperti zeolit.. Untuk menentukan turunan dari fungsi tersebut, terlebih dahulu kita ubah ke turunan merupakan suatu perhitungan terhadap perubahan nilai fungsi karena perubahan nilai input (variabel). Karena gradien sama dengan turunan pertama dari fungsi tersebut maka turunan pertama dari fungsi sama dengan nol (f'(x) = 0). Jika fungsi ini diturunkan maka turunannya adalah. Meskipun tumbuhan monokotil dan tumbuhan dikotil memiliki sistem perakaran yang berbeda, tetapi fungsi akar pada tumbuhan tersebut sama. Rumus rumus turunan fungsi al jabar.

Posting Komentar untuk "Turunan Fungsi Akar Pecahan / Limit Tak Hingga Bentuk Akar Pecahan - Berbagi Bentuk Penting : Dapat dikatakan arang sekam akan berfungsi seperti zeolit."